今日で部活の練習に行くのは最後だ(と思う)
これからは勉強に全振り、、、と言いたいところだが、10年も続けてきた勉強と水泳のバランスが一気に崩れるのは若干怖い。メンタル鬱になったら朝練だけでもしようかな?
気分転換にちょっと泳ぐくらいなら寧ろプラスだよね!🏊♂️
今日やったこと
(水曜日までの埋め合わせ)
青チャ微分重要例題、演習例題全問完了!
明日は総体。水泳人生のいい締めくくりになりますように。
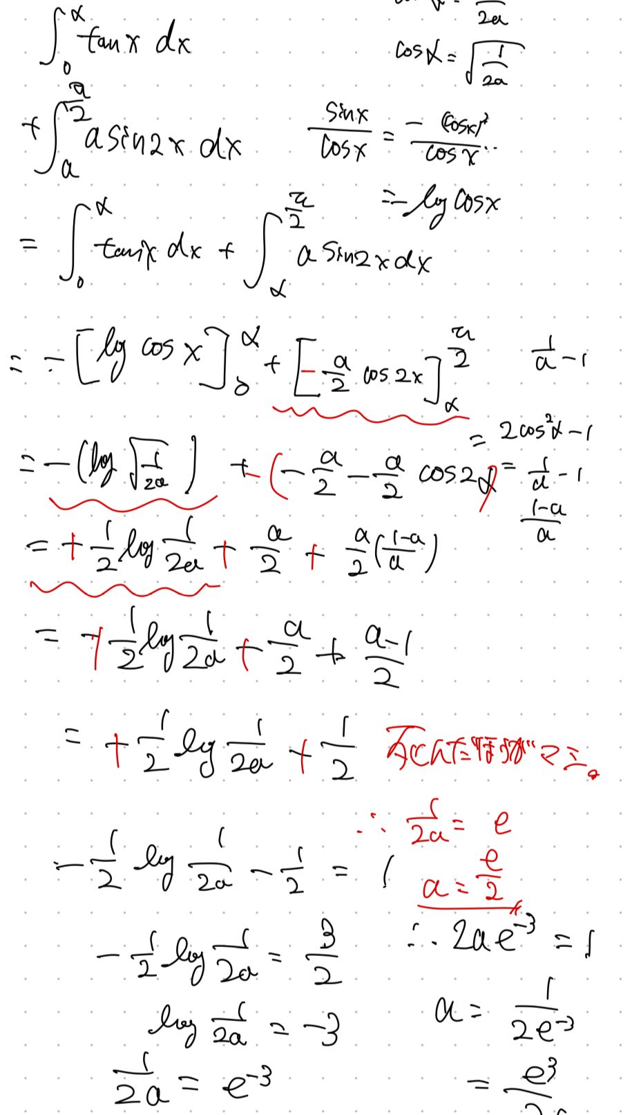
今日のやらかし↓



今日で部活の練習に行くのは最後だ(と思う)
これからは勉強に全振り、、、と言いたいところだが、10年も続けてきた勉強と水泳のバランスが一気に崩れるのは若干怖い。メンタル鬱になったら朝練だけでもしようかな?
気分転換にちょっと泳ぐくらいなら寧ろプラスだよね!🏊♂️
今日やったこと
(水曜日までの埋め合わせ)
青チャ微分重要例題、演習例題全問完了!
明日は総体。水泳人生のいい締めくくりになりますように。
今日のやらかし↓

